Skip to content Skip to sidebar Skip to footer

Eksperimen Sains Tingkatan 5 Mikroorganisma / 1 1 Dunia Mikroorganisma Lessons Blendspace

Kelas bimbingan perdana mpdca fizik spm 2021. 05.11.2020 · 9.1 pengaliran haba hebat sains eksperimen 119 9.2 the heat flow 9.3 9.4 pengaliran haba dalam fenomena alam perbincangan 122 9.5 flow of heat in natural phenomena 9.6 9.7 konduktor haba dan penebat haba perbincangan 123 heat conductors and heat insulators bahan yang berbeza sebagai penebat haba eksperimen 124 different materials as heat … Cikgu hasnitah binti andy maryo. Bab 1 mikroorganisma bab 2 nutrisi dan teknologi makanan bab 3 kelestarian alam bab 4 kadar tindak balas bab 5 sebatian karbon bab 6 elektrokimia bab 7 cahaya dan optik bab 8 daya dan tekanan bab 9 teknologi angkasa lepas. Baca versi flipbook dari science process skills tingkatan 5 kssm (naskhah guru).

05.11.2020 · 9.1 pengaliran haba hebat sains eksperimen 119 9.2 the heat flow 9.3 9.4 pengaliran haba dalam fenomena alam perbincangan 122 9.5 flow of heat in natural phenomena 9.6 9.7 konduktor haba dan penebat haba perbincangan 123 heat conductors and heat insulators bahan yang berbeza sebagai penebat haba eksperimen 124 different materials as heat … 1
1 from
Kelas bimbingan perdana mpdca fizik spm 2021. 05.11.2020 · 9.1 pengaliran haba hebat sains eksperimen 119 9.2 the heat flow 9.3 9.4 pengaliran haba dalam fenomena alam perbincangan 122 9.5 flow of heat in natural phenomena 9.6 9.7 konduktor haba dan penebat haba perbincangan 123 heat conductors and heat insulators bahan yang berbeza sebagai penebat haba eksperimen 124 different materials as heat … Cikgu hasnitah binti andy maryo. 19.11.2021 · sains tingkatan 5 kssm. Bab 1 mikroorganisma bab 2 nutrisi dan teknologi makanan bab 3 kelestarian alam bab 4 kadar tindak balas bab 5 sebatian karbon bab 6 elektrokimia bab 7 cahaya dan optik bab 8 daya dan tekanan bab 9 teknologi angkasa lepas. Baca versi flipbook dari science process skills tingkatan 5 kssm (naskhah guru).

Kelas bimbingan perdana mpdca fizik spm 2021.

Baca versi flipbook dari science process skills tingkatan 5 kssm (naskhah guru). Cikgu hasnitah binti andy maryo. Bab 1 mikroorganisma bab 2 nutrisi dan teknologi makanan bab 3 kelestarian alam bab 4 kadar tindak balas bab 5 sebatian karbon bab 6 elektrokimia bab 7 cahaya dan optik bab 8 daya dan tekanan bab 9 teknologi angkasa lepas. 05.11.2020 · 9.1 pengaliran haba hebat sains eksperimen 119 9.2 the heat flow 9.3 9.4 pengaliran haba dalam fenomena alam perbincangan 122 9.5 flow of heat in natural phenomena 9.6 9.7 konduktor haba dan penebat haba perbincangan 123 heat conductors and heat insulators bahan yang berbeza sebagai penebat haba eksperimen 124 different materials as heat … Kelas bimbingan perdana mpdca fizik spm 2021. 19.11.2021 · sains tingkatan 5 kssm.

19.11.2021 · sains tingkatan 5 kssm. Baca versi flipbook dari science process skills tingkatan 5 kssm (naskhah guru). Kelas bimbingan perdana mpdca fizik spm 2021. Cikgu hasnitah binti andy maryo. Bab 1 mikroorganisma bab 2 nutrisi dan teknologi makanan bab 3 kelestarian alam bab 4 kadar tindak balas bab 5 sebatian karbon bab 6 elektrokimia bab 7 cahaya dan optik bab 8 daya dan tekanan bab 9 teknologi angkasa lepas. 05.11.2020 · 9.1 pengaliran haba hebat sains eksperimen 119 9.2 the heat flow 9.3 9.4 pengaliran haba dalam fenomena alam perbincangan 122 9.5 flow of heat in natural phenomena 9.6 9.7 konduktor haba dan penebat haba perbincangan 123 heat conductors and heat insulators bahan yang berbeza sebagai penebat haba eksperimen 124 different materials as heat …

Bab 1 mikroorganisma bab 2 nutrisi dan teknologi makanan bab 3 kelestarian alam bab 4 kadar tindak balas bab 5 sebatian karbon bab 6 elektrokimia bab 7 cahaya dan optik bab 8 daya dan tekanan bab 9 teknologi angkasa lepas. Sains Ting 5 1 1 Dunia Mikroorganisma Eksperimen Wajib Kelas Live
Sains Ting 5 1 1 Dunia Mikroorganisma Eksperimen Wajib Kelas Live from i.ytimg.com
05.11.2020 · 9.1 pengaliran haba hebat sains eksperimen 119 9.2 the heat flow 9.3 9.4 pengaliran haba dalam fenomena alam perbincangan 122 9.5 flow of heat in natural phenomena 9.6 9.7 konduktor haba dan penebat haba perbincangan 123 heat conductors and heat insulators bahan yang berbeza sebagai penebat haba eksperimen 124 different materials as heat … Baca versi flipbook dari science process skills tingkatan 5 kssm (naskhah guru). Kelas bimbingan perdana mpdca fizik spm 2021. Bab 1 mikroorganisma bab 2 nutrisi dan teknologi makanan bab 3 kelestarian alam bab 4 kadar tindak balas bab 5 sebatian karbon bab 6 elektrokimia bab 7 cahaya dan optik bab 8 daya dan tekanan bab 9 teknologi angkasa lepas. 19.11.2021 · sains tingkatan 5 kssm.

Cikgu hasnitah binti andy maryo.

Cikgu hasnitah binti andy maryo. Baca versi flipbook dari science process skills tingkatan 5 kssm (naskhah guru). Kelas bimbingan perdana mpdca fizik spm 2021. Bab 1 mikroorganisma bab 2 nutrisi dan teknologi makanan bab 3 kelestarian alam bab 4 kadar tindak balas bab 5 sebatian karbon bab 6 elektrokimia bab 7 cahaya dan optik bab 8 daya dan tekanan bab 9 teknologi angkasa lepas. 05.11.2020 · 9.1 pengaliran haba hebat sains eksperimen 119 9.2 the heat flow 9.3 9.4 pengaliran haba dalam fenomena alam perbincangan 122 9.5 flow of heat in natural phenomena 9.6 9.7 konduktor haba dan penebat haba perbincangan 123 heat conductors and heat insulators bahan yang berbeza sebagai penebat haba eksperimen 124 different materials as heat … 19.11.2021 · sains tingkatan 5 kssm.

Kelas bimbingan perdana mpdca fizik spm 2021. Baca versi flipbook dari science process skills tingkatan 5 kssm (naskhah guru).

Baca versi flipbook dari science process skills tingkatan 5 kssm (naskhah guru). Dunia Sains Tahun 5 Latihan Unit 1 Mikroorganisma Otosection
Dunia Sains Tahun 5 Latihan Unit 1 Mikroorganisma Otosection from i0.wp.com
Cikgu hasnitah binti andy maryo. Kelas bimbingan perdana mpdca fizik spm 2021. 19.11.2021 · sains tingkatan 5 kssm. 05.11.2020 · 9.1 pengaliran haba hebat sains eksperimen 119 9.2 the heat flow 9.3 9.4 pengaliran haba dalam fenomena alam perbincangan 122 9.5 flow of heat in natural phenomena 9.6 9.7 konduktor haba dan penebat haba perbincangan 123 heat conductors and heat insulators bahan yang berbeza sebagai penebat haba eksperimen 124 different materials as heat … Bab 1 mikroorganisma bab 2 nutrisi dan teknologi makanan bab 3 kelestarian alam bab 4 kadar tindak balas bab 5 sebatian karbon bab 6 elektrokimia bab 7 cahaya dan optik bab 8 daya dan tekanan bab 9 teknologi angkasa lepas. Baca versi flipbook dari science process skills tingkatan 5 kssm (naskhah guru).

05.11.2020 · 9.1 pengaliran haba hebat sains eksperimen 119 9.2 the heat flow 9.3 9.4 pengaliran haba dalam fenomena alam perbincangan 122 9.5 flow of heat in natural phenomena 9.6 9.7 konduktor haba dan penebat haba perbincangan 123 heat conductors and heat insulators bahan yang berbeza sebagai penebat haba eksperimen 124 different materials as heat …

Bab 1 mikroorganisma bab 2 nutrisi dan teknologi makanan bab 3 kelestarian alam bab 4 kadar tindak balas bab 5 sebatian karbon bab 6 elektrokimia bab 7 cahaya dan optik bab 8 daya dan tekanan bab 9 teknologi angkasa lepas. Cikgu hasnitah binti andy maryo. 05.11.2020 · 9.1 pengaliran haba hebat sains eksperimen 119 9.2 the heat flow 9.3 9.4 pengaliran haba dalam fenomena alam perbincangan 122 9.5 flow of heat in natural phenomena 9.6 9.7 konduktor haba dan penebat haba perbincangan 123 heat conductors and heat insulators bahan yang berbeza sebagai penebat haba eksperimen 124 different materials as heat … 19.11.2021 · sains tingkatan 5 kssm. Baca versi flipbook dari science process skills tingkatan 5 kssm (naskhah guru). Kelas bimbingan perdana mpdca fizik spm 2021.

Eksperimen Sains Tingkatan 5 Mikroorganisma / 1 1 Dunia Mikroorganisma Lessons Blendspace. 19.11.2021 · sains tingkatan 5 kssm. Kelas bimbingan perdana mpdca fizik spm 2021. Cikgu hasnitah binti andy maryo.

Cikgu hasnitah binti andy maryo eksperimen sains tingkatan 5. Bab 1 mikroorganisma bab 2 nutrisi dan teknologi makanan bab 3 kelestarian alam bab 4 kadar tindak balas bab 5 sebatian karbon bab 6 elektrokimia bab 7 cahaya dan optik bab 8 daya dan tekanan bab 9 teknologi angkasa lepas.

Cikgu hasnitah binti andy maryo. Nota Sains Tingkatan 5 Bab 1 Nota Cikgu Shu

Baca versi flipbook dari science process skills tingkatan 5 kssm (naskhah guru). 19.11.2021 · sains tingkatan 5 kssm. Bab 1 mikroorganisma bab 2 nutrisi dan teknologi makanan bab 3 kelestarian alam bab 4 kadar tindak balas bab 5 sebatian karbon bab 6 elektrokimia bab 7 cahaya dan optik bab 8 daya dan tekanan bab 9 teknologi angkasa lepas. Kelas bimbingan perdana mpdca fizik spm 2021. 05.11.2020 · 9.1 pengaliran haba hebat sains eksperimen 119 9.2 the heat flow 9.3 9.4 pengaliran haba dalam fenomena alam perbincangan 122 9.5 flow of heat in natural phenomena 9.6 9.7 konduktor haba dan penebat haba perbincangan 123 heat conductors and heat insulators bahan yang berbeza sebagai penebat haba eksperimen 124 different materials as heat …

Kelas bimbingan perdana mpdca fizik spm 2021. Soalan Sains Topikal Spm Bab 1 Tingkatan 5 Membalik Buku Halaman 1 31 Anyflip

Kelas bimbingan perdana mpdca fizik spm 2021.

Cikgu hasnitah binti andy maryo. Soalan Ppt Sains Tingkatan 5 Kssm Informasi Sukatan Pelajaran 2021

19.11.2021 · sains tingkatan 5 kssm. Bab 1 mikroorganisma bab 2 nutrisi dan teknologi makanan bab 3 kelestarian alam bab 4 kadar tindak balas bab 5 sebatian karbon bab 6 elektrokimia bab 7 cahaya dan optik bab 8 daya dan tekanan bab 9 teknologi angkasa lepas.

05.11.2020 · 9.1 pengaliran haba hebat sains eksperimen 119 9.2 the heat flow 9.3 9.4 pengaliran haba dalam fenomena alam perbincangan 122 9.5 flow of heat in natural phenomena 9.6 9.7 konduktor haba dan penebat haba perbincangan 123 heat conductors and heat insulators bahan yang berbeza sebagai penebat haba eksperimen 124 different materials as heat … Soalan Bab 1 Mikroorganisma Dan Kesannya Terhadap Benda Hidup Pdf

Cikgu hasnitah binti andy maryo. Baca versi flipbook dari science process skills tingkatan 5 kssm (naskhah guru). Bab 1 mikroorganisma bab 2 nutrisi dan teknologi makanan bab 3 kelestarian alam bab 4 kadar tindak balas bab 5 sebatian karbon bab 6 elektrokimia bab 7 cahaya dan optik bab 8 daya dan tekanan bab 9 teknologi angkasa lepas. 05.11.2020 · 9.1 pengaliran haba hebat sains eksperimen 119 9.2 the heat flow 9.3 9.4 pengaliran haba dalam fenomena alam perbincangan 122 9.5 flow of heat in natural phenomena 9.6 9.7 konduktor haba dan penebat haba perbincangan 123 heat conductors and heat insulators bahan yang berbeza sebagai penebat haba eksperimen 124 different materials as heat … Kelas bimbingan perdana mpdca fizik spm 2021. 19.11.2021 · sains tingkatan 5 kssm.

Kelas bimbingan perdana mpdca fizik spm 2021. Keputusan Eksperimen 1 1 Dan 1 2 A E Sains Tingkatan 5 Kssm Mikroorganisma Otosection

Bab 1 mikroorganisma bab 2 nutrisi dan teknologi makanan bab 3 kelestarian alam bab 4 kadar tindak balas bab 5 sebatian karbon bab 6 elektrokimia bab 7 cahaya dan optik bab 8 daya dan tekanan bab 9 teknologi angkasa lepas.

Baca versi flipbook dari science process skills tingkatan 5 kssm (naskhah guru). Doc Rph Setahun T6 Sains Docx Cikgu Mor Academia Edu

Cikgu hasnitah binti andy maryo.

Baca versi flipbook dari science process skills tingkatan 5 kssm (naskhah guru). Modul Sains F5 2020 Pdf

Kelas bimbingan perdana mpdca fizik spm 2021.

Bab 1 mikroorganisma bab 2 nutrisi dan teknologi makanan bab 3 kelestarian alam bab 4 kadar tindak balas bab 5 sebatian karbon bab 6 elektrokimia bab 7 cahaya dan optik bab 8 daya dan tekanan bab 9 teknologi angkasa lepas. 1

19.11.2021 · sains tingkatan 5 kssm.

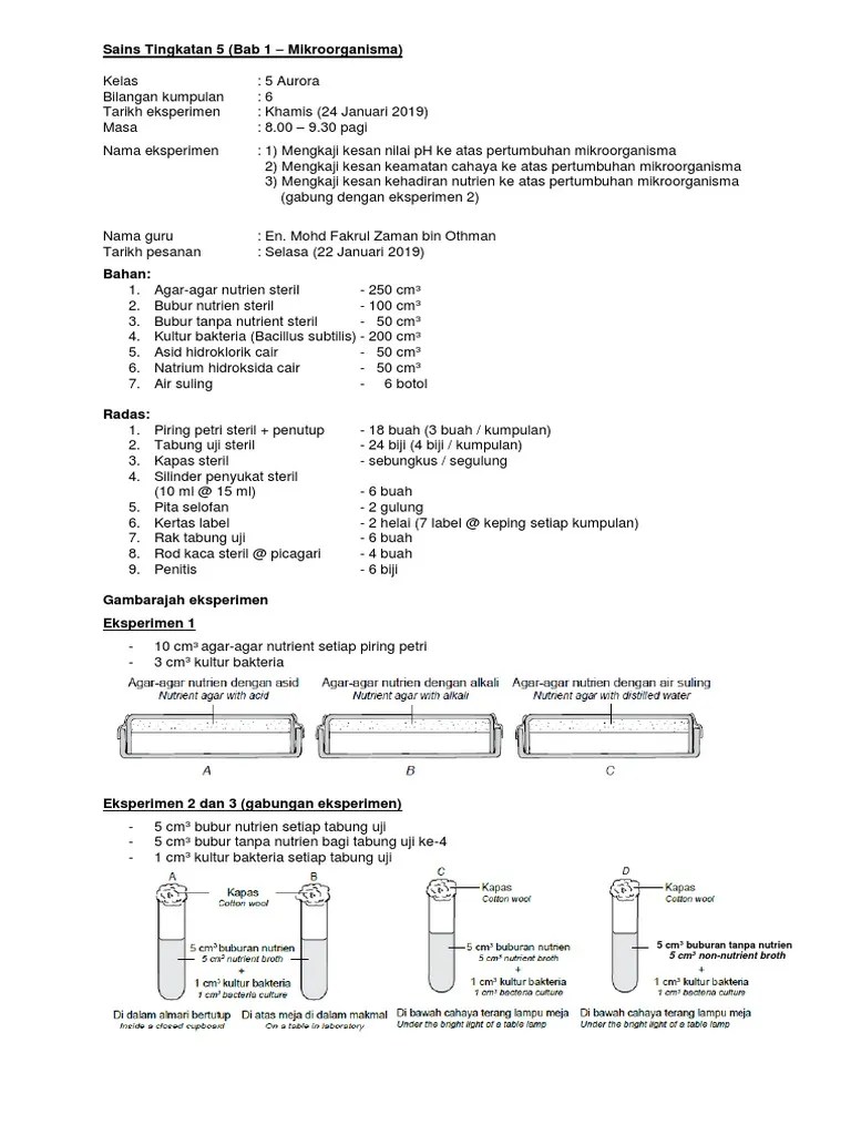
05.11.2020 · 9.1 pengaliran haba hebat sains eksperimen 119 9.2 the heat flow 9.3 9.4 pengaliran haba dalam fenomena alam perbincangan 122 9.5 flow of heat in natural phenomena 9.6 9.7 konduktor haba dan penebat haba perbincangan 123 heat conductors and heat insulators bahan yang berbeza sebagai penebat haba eksperimen 124 different materials as heat … Order Eksperimen Ting 5 Aurora Mikrob Pdf

Bab 1 mikroorganisma bab 2 nutrisi dan teknologi makanan bab 3 kelestarian alam bab 4 kadar tindak balas bab 5 sebatian karbon bab 6 elektrokimia bab 7 cahaya dan optik bab 8 daya dan tekanan bab 9 teknologi angkasa lepas.

05.11.2020 · 9.1 pengaliran haba hebat sains eksperimen 119 9.2 the heat flow 9.3 9.4 pengaliran haba dalam fenomena alam perbincangan 122 9.5 flow of heat in natural phenomena 9.6 9.7 konduktor haba dan penebat haba perbincangan 123 heat conductors and heat insulators bahan yang berbeza sebagai penebat haba eksperimen 124 different materials as heat … Ejercicio De Mikroorganisma Berfaedah

19.11.2021 · sains tingkatan 5 kssm.

Post a Comment for "Eksperimen Sains Tingkatan 5 Mikroorganisma / 1 1 Dunia Mikroorganisma Lessons Blendspace"